AQ 4205-2008 礦山個體呼吸性粉塵測定方法
- 發表時間:2022-09-24
- 來源:共立消防
- 人氣:
1 范圍
本標準規定了礦山個體呼吸性粉塵的測定方法。
本標準適用于礦山和選礦廠個體呼吸性粉塵濃度和粉塵中游離二氧化硅含量的測定。
本標準不適用于纖維性粉塵的測定。
2 規范性引用文件
下列文件中的條款通過本標準的引用而成為本標準的條款。凡是注日期的引用文件,其隨后所有 的修改單(不包括勘誤的內容)或修訂版均不適用于本標準,然而,鼓勵根據本標準達成協議的各方研究 是否可使用這些文件的最新版本。凡是不注日期的引用文件,其最新版本適用于本標準。
GBZ 2.1 工作場所有害因素職業接觸限值 化學有害因素
GBZ 159 工作場所空氣中有害物質監測的采樣規范
GBZ/T 192.1 工作場所空氣中粉塵測定 第1部分:總粉塵濃度含量
GBZ/T192.4 工作場所空氣中粉塵測定 第4部分:游離二氧化硅含量
AQ 4204-2008 呼吸性粉塵個體采樣器
3 術語和定義
下列術語和定義適用于本標準。
3.1
呼吸性粉塵 respirable dust
按呼吸性粉塵標準測定方法所采集的可進入肺泡的粉塵粒子,其空氣動力學直徑均在7.07 gm以 下,空氣動力學直徑5 gm粉塵粒子的采樣效率為50%,簡稱“呼塵”。
[GBZ 2.1-2007,定義 3.8]
3.2
時間加權平均濃度 concentration-time weighted average
以時間為權數規定的8h工作日的平均接觸濃度。
3.3
呼吸性粉塵個體采樣器 personal sampler for resprable dust
適用于個人佩帶的采集呼吸性粉塵的裝置。
3.4
呼吸帶 breathing zone
佩帶者鼻子前方半徑為30 cm的半球區。
3.5
接塵作業人群 workers exposed to dust
在作業過程中接觸粉塵的所有作業人群的總稱。
3.6
采樣對象 monitored worker
指選定為具有代表性的、進行個體呼吸性粉塵采樣的作業人員。
3.7
呼吸性粉塵濃度 respirable dust concentration
采樣后呼吸性粉塵在已知質量的測塵濾膜上的增量和采氣量的比值,單位為mg/m3。
4 采樣對象的確定原則
4.1 接塵作業人群的劃分
a)以露天礦山采礦區、地下礦山采礦區和選礦廠為劃分接塵作業人群的基本單位。
b)在基本單位內,以作業環境相似和同工種的作業人員為一類接塵作業人群。
4.2 采樣對象的選擇
在現場調查的基礎上,根據檢測分析的目的和要求,參考GBZ/T 192.1附錄A,選擇有代表性的作 業人員作為采樣對象,一般應以接觸空氣中有害物質濃度最高的作業人員作為重點采樣對象。
4.3 一次測定分析的樣品數
根據檢測分析的目的和要求,參照GBZ 159中8.2確定采樣數量。
5 儀器
5.1 采樣器:符合AQ 4204-2008標準要求,且在校準有效期內的呼吸性粉塵個體采樣器。有爆炸性 危險的作業場所應使用防爆型采樣器。
5.2 流量校準器:1.5級。
5.3 濾膜:過氯乙烯濾膜或其他測塵濾膜。
5.4 濾膜靜電消除器。
5.5 干燥器:應不改變粉塵和濾膜的性狀。
5.6 分析天平:分度值為0.01mg。
5.7 GBZ/T 192.4 中 4.2 或 5.2 的儀器。
5.8 計時器:分度值為0.1s。
5.9 鑷子。
6 采樣
6.1 采樣前準備
6.1.1 采樣記錄表的準備
6.1.1.1 參考GBZ 159-2004附錄B的內容編制礦山個體呼吸性粉塵采樣記錄表。
6.1.2 濾膜的準備
6.1.2.1 將濾膜置于干燥器內2h以上;
6.1.2.2 用鑷子取下濾膜的襯紙,除去濾膜的靜電,放在分析天平上準確稱量,在襯紙上和采樣記錄表上記錄濾膜的質量如和編號;
6.1.2.3 將濾膜和襯紙放入相應容器中備用,或將濾膜直接安裝在采樣頭的濾膜夾內;
6.1.2.4 安裝時,濾膜毛面應朝進氣方向,濾膜放置應平整,不能有裂隙或褶皺。
6.1.3 采樣器的準備
6.1.3.1 如有必要,清洗采樣頭,除去采樣通道內的殘留物;
6.1.3.2 檢查采樣器工作是否正常,如有問題,應更換或修理,然后充電備用;
6.1.3.3 將采樣流量校準至呼吸性粉塵個體采樣器的額定流量。
6.2 采樣
6.2.1 測塵人員指導和協助采樣對象按要求佩戴好采樣器,應使其進氣口位于采樣對象的呼吸帶內。
6.2.2 開始作業時,由測塵人員打開采樣器,一個工作班結束時或到規定的采樣時間,關閉采樣器。采樣對象不得拆開采樣器、污染采樣器中的濾膜,也不得隨意取下采樣器。
6.2.3 測塵人員應將采樣對象的姓名、作業種類、采樣起始時間、初始采樣流量等相關信息記錄在采樣記錄表上。
6.2.4 采樣過程中,要根據現場空氣中粉塵的濃度、使用采樣夾的大小和采樣流量及采樣時間,估算濾膜上粉塵增重采樣時要通過調節采樣時間,控制濾膜粉塵Am,滿足0.1 mg ≤Δm ≤5 mg的要求。 測塵人員要經常觀察,采樣流量偏差應在±5%范圍內。若有過載可能,應及時更換濾膜。若已發生過載,廢棄該樣品,并更換采樣器,縮短采樣時間,重新采樣并記錄。
6.2.5 采樣結束后,測塵人員檢查收回采樣器(帶濾膜),并將最終采樣流量和采樣時間記錄在采樣記錄表上,采樣前后流量偏差超過±5%的樣品應報廢。
6.2.6 測塵人員用鑷子取出采樣器中的濾膜,再將其接塵面朝里對折兩次,裝入對應的樣品塑料夾內再置于清潔容器內運輸和保存;或將濾膜夾取下,放入原來的濾膜盒中。運輸和保存過程中應有措施防 止粉塵脫落或污染。
6.2.7 對收回的采樣器進行拆卸清洗,除去采樣通道內的殘留物,然后晾干再組裝好放置。
7 數據處理
7.1 樣品的稱量
將采樣后的濾膜置于干燥器內2 h以上,除靜電后,在分析天平上準確稱量,記錄濾膜和粉塵的質量M2。
7.2 呼吸性粉塵濃度計算
按下述公式計算呼吸性粉塵濃度:

式中:
c--呼吸性粉塵濃度,mg/m3 ;
m1-- 采樣前濾膜的質量,mg;
m2-- 采樣后濾膜加粉塵的質量,mg;
v-- 采樣流量,L/mm;
t--采樣時間,mm。
7.3 時間加權平均濃度
按GBZ 159方法計算時間加權平均濃度。
7.4 游離二氧化硅含量測定
按GBZ/T 192.4中4或5的方法進行測定。分析用試樣從所采粉塵濃度樣品中選取,當本次樣品的粉塵量不能滿足要求時,則應在下次進行連續兩個工作班采樣。
8 數據統計
8.1 呼吸性粉塵濃度
8.1.1 一類接塵作業人群
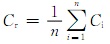
按下述公式計算一類接塵作業人群的呼吸性粉塵平均濃度:

式中:
Cr--類接塵作業人群的呼吸性粉塵平均濃度,mg/m3;
Ci--同一類接塵作業人群中所采第z個樣品的呼吸性粉塵濃度,mg/m3;
以上為標準部分內容,如需看標準全文,請到相關授權網站購買標準正版。
-
IG541混合氣體滅火系統
IG541混合氣體滅火系統:IG-541滅火系統采用的IG-541混合氣體滅火劑是由大氣層中的氮氣(N2)、氬氣(Ar)和二氧化碳(CO2)三種氣體分別以52%、40%、8%的比例混合而成的一種滅火劑 -
二氧化碳氣體滅火系統
二氧化碳氣體滅火系統:二氧化碳氣體滅火系統由瓶架、滅火劑瓶組、泄漏檢測裝置、容器閥、金屬軟管、單向閥(滅火劑管)、集流管、安全泄漏裝置、選擇閥、信號反饋裝置、滅火劑輸送管、噴嘴、驅動氣體瓶組、電磁驅動 -
七氟丙烷滅火系統
七氟丙烷(HFC—227ea)滅火系統是一種高效能的滅火設備,其滅火劑HFC—ea是一種無色、無味、低毒性、絕緣性好、無二次污染的氣體,對大氣臭氧層的耗損潛能值(ODP)為零,是鹵代烷1211、130 -
手提式干粉滅火器
手提式干粉滅火器適滅火時,可手提或肩扛滅火器快速奔赴火場,在距燃燒處5米左右,放下滅火器。如在室外,應選擇在上風方向噴射。使用的干粉滅火器若是外掛式儲壓式的,操作者應一手緊握噴槍、另一手提起儲氣瓶上的


